照度計の基礎知識を総まとめ!種類・使い方・測り方・照度計算まで徹底解説

照明環境の評価や安全基準の確認、写真撮影、工場やオフィスの照明設計などに欠かせない機器が「照度計」です。
本記事では、照度計の基礎知識から、正しい測定方法、アナログ・デジタルの違い、さらには分光放射照度計などの応用機器まで、専門的な視点から分かりやすく解説します。
目次
1.照度計とは?
「照度計」とは、ある地点に到達する光の明るさ(照度)を測定する機器です。
照度の単位はルクス(lx)で、単位面積あたりに届く光束(ルーメン)を測ることで算出されます。
《例》
- 太陽光下:約100,000 lx
- 曇天 :約1,000 lx
- オフィス照明:500 lx程度
照度は人間の視環境や作業効率に大きく影響するため、建築、製造、農業、医療、写真・映像分野など多岐にわたる分野で重要視されています。
以下のように国内では 視環境の質を確保し、作業効率の向上や健康維持を図るため、JISなどで照度の基準値を推奨しています。
|
適用箇所 |
規格番号 |
基準の照度の例 |
| 屋内施設 (事務所・学校・住宅など) |
JIS Z 9125:2023 屋内照明基準 |
事務作業:500lx、教室:300lx、住宅居間:150lx |
| 屋外施設 (公園・広場・駐車場など) |
JIS Z 9126:2021 屋外照明基準 |
公園通路:10lx、駐車場:20lx |
| スポーツ施設 (競技場・体育館) |
JIS Z 9127:2020 スポーツ照明基準 |
サッカー競技:200lx(練習場など)~2000lx(テレビ中継対応) |
| 道路照明 | JIS Z 9111:2022 道路照明基準 |
一般道路:5lx~20lx(道路種別により異なる) |
| トンネル照明 | JIS Z 9116:2022 トンネル照明基準 |
入口部:数百lx、内部部:数十lx |
JIS Z 9110:2024は「総則」:「照度段階の範囲(0.5 lx ~ 100,000 lx)」と「環境・省エネ・安全性への配慮」が強調されています。
適応箇所ごとの数値は、JIS Z 9125(屋内)、JIS Z 9126(屋外)、JIS Z 9127(スポーツ)、JIS Z 9111(道路)、JIS Z 9116(トンネル)を参照する必要があります。
2.照度計の原理
照度計の基本的な原理は、受光素子(フォトダイオードなど)光を受け、その強さを電気信号に変換する仕組みです。光量が多いほど電流が大きくなり、これをデジタルまたはアナログで数値化して照度を表示します。
高度な機種では、受光素子の前に色補正フィルターを装着し、人間の目の感度(Vλ:視感度曲線)に近づけて測定の精度を高めています。
3.デジタルとアナログの違い
照度計は、大きく分けてアナログ式とデジタル式の2種類があります。
|
種類 |
特徴 |
| アナログ照度計 | 針で値を示すタイプ。 構造がシンプルで電源不要だが、読み取りに慣れが必要。 |
| デジタル照度計 | 数値表示で直感的に読みやすい。 多くの製品がデータ記録やPC連携、アプリ接続に対応。 |
最近では、ほとんどがデジタル式に移行しており、スマートフォンと連携可能なモデルも増えています。

【図1 デジタル照度計の構成・測定イメージ】
4.照度計の使い方と測り方
照度計は、正しく使えば非常に便利な計測器ですが、使い方を誤ると正確な数値が得られません。
この章では、基本的な使用手順に加えて、実践での注意点やコツもあわせて解説します。
(1)基本的な使い方
- 電源を入れる:
デジタル照度計の場合は、測定モードに切り替え、必要に応じて単位(lx)を確認します。 - 測定レンジの設定:
多くの機種では「自動レンジ」機能がありますが、手動設定の場合は、測定対象の明るさに応じて適切なレンジを選択します(例:100lx、1000lx、10,000lxなど)。 - 受光部の設置:
照度を測りたい面に対して、照度計の受光部(センサー)を水平に置くことが基本です。特に作業面や床面では、センサーが垂直・傾斜していると誤差が出ます。 - 照射角度と影に注意して測定:
測定中、自分の体や器具でセンサーに影が落ちないよう注意します。また、天井照明の直下と照明間の中間では照度が大きく異なるため、複数地点で測るのが望ましいです。 - 数値を読み取る:
ディスプレイに表示される数値を記録します。複数回測定し、平均値を取るとより正確です。
(2)測定に関する主な注意点
- 自然光の影響を考慮する:
窓からの光が差し込む時間帯では、測定値が大きく変動します。できる限り照明のみの条件で測定するか、同じ時間帯で測定を統一してください。 - 照度の基準高さに注意する:
JISなどの基準では、用途に応じて測定高さが決まっています(例:机上は床から約80cm、歩行空間は床から約5cm)。基準に合った位置でセンサーを設置しましょう。 - 受光部を清潔に保つ:
センサー表面にホコリや指紋がつくと、光の透過率が変わり誤差が発生します。定期的に清掃してください。 - 複数地点での測定と平均値の活用:
1地点だけの測定では偏った数値になるため、照明空間の平均照度を求めるには複数点の照度測定が不可欠です。たとえば、以下のように部屋を3×3のグリッドに分けて9点測定し、その平均を取ると空間全体の傾向が見えてきます(※平均照度計算の章を参照)。
5.照度計と似た機器との違い
(1)照度計と輝度計との違い
照度計と輝度計の違いは、測定対象と目的の違いにあります。
照度計は、ある場所に「どれだけの光が届いているか(照度)」を測定する機器です。たとえば、作業机の上に届く光の強さを測る場合など、「受け手側」の明るさを評価します。
一方、輝度計は、光を発している物体や面が「どれだけ明るく見えるか(輝度)」を測定する装置で、ディスプレイや光源、看板など「発光・反射している側」の明るさを定量的に評価します。
つまり、照度計は受光面に届く単位面積当たりの光の量(lx=lm/m²)を測るのに対し、輝度計は発光・反射面そのものの明るさ(面積当たりの光源を見た目の明るさの値(㏅/m²)を測るという違いがあります。
照度計は「光を受ける側」、輝度計は「光を発する側」に注目する機器ということもできます。照明設計や光源評価など、目的に応じて使い分けることが重要です。

【図2 照度計と輝度計の測定イメージ】
(2)照度計と露出計との違い
露出計は、カメラ撮影における適切な露出(シャッター速度・絞り・ISO感度)を決めるための装置です。
照度そのものではなく、撮影条件に最適化された演算結果を出力します。

【図3 露出計の測定イメージ】
6.照度計算と平均照度計算
照度や平均照度を正しく評価するには、数式に基づいた計算が重要です。
この章では、実際の計算式と計算事例を解説します。
(1)照度計算の基本式
照度(E)は、以下の式で求められます:
ここで、
![]()
- Φ(ファイ):光束(ルーメン、lm)
- A:照らされる面積(平方メートル m2)
- E:照度 (ルクス, l x)
具体的な照度計算の事例①:単一光源の照度
- 事例:
天井に設置された1台のLEDライト(光束1000lm)が、真下の床面(2m × 2m = 4m²)を均等に照らしているとします。 - 計算:

この場合、床面の照度は250ルクスです。

【図4 単一光源の照度計算】
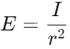
具体的な照度計算の事例②:距離を考慮した点光源の照度
距離を考慮した点光源の照度(法線照度) 点光源から、その光の方向に垂直な面(受光面)までの照度は、「距離逆二乗の法則」によって求められます。これを法線照度と呼びます。
![]()
ここで、
- I:光度(cd、カンデラ)
- r:光源から受光点までの距離(m)
- E:法線照度(lx)
- 事例:
光度500cdのダウンライトが、床面から2m離れた天井に設置されているとします。 - 計算:

→ 床面の照度は125ルクスになります。

【図5 距離を考慮した点光源の照度計算】
(2)平均照度計算の方法
平均照度の測定方法はJIS Z 9125(旧 JIS C 7612)に定められています。
① 単位区域ごとの(4点法)照度計算
測定範囲の平均照度は単位区域ごとの平均照度を求め、その相加平均値を全測定範囲の平均照度とする。単位区域ごとの平均照度Eは原則として図のような4点法により隅の4点の照度Eiを測定し以下の式で求める。
② 単位区域が連続する場合の平均照度の算出法
以下のような測定の場合は、次の計算式で算出します。
また、内点照度と隅点、辺点照度比が4以下で、照度分布が一様に近い場合、または照度測定の点数が100点を超える場合は全測定点の単純平均をもって概数値にできます。

(3)室中央に照明器具が1灯設備されているような場合
室中央に照明器具が1灯設備されているような場合の平均照度算出法は、図に示すように5点法で計算します。
具体的な平均照度計算の事例③:オフィスの照度評価
- 事例:
5m × 4m の会議室の照度を以下の9点で測定を行う: - 計算:


【図6 距離を考慮した点光源の照度計算】
|
測定点 |
照度(lx) |
| A1 (Ea1) | 410 |
| A2 (Eb1) | 440 |
| A3 (Ea4) | 390 |
| B1 (Eb2) | 430 |
| B2 (Eg) | 450 |
| B3 (Eb4) | 420 |
| C1 (Ea2) | 400 |
| C2 (Eb3) | 460 |
| C3 (Ea3) | 430 |
→ この会議室の平均照度は約433 lxとなり、一般的なオフィスの基準(300~500lx)を満たしていると判断できます。
なお 上記例では辺点、隅点ともに内点比が4以下の為、9点平均の計算式でも計算できます。

7.校正とその重要性
照度計の精度は定期的な校正によって維持されます。特に産業用途や検査業務では、JISまたはISO規格に基づいた校正証明書の取得が求められる場合があります。
《校正の主なやり方》
- トレーサブルな光源と比較する
- 使用前にゼロ点確認(ゼロ校正)を行う
- 専門機関に依頼する
適切な校正を行うことで、照度計の信頼性を確保できます。
8.スマホアプリで代用できる?
近年では、スマートフォンのカメラセンサーを利用した「照度計アプリ」も登場しています。これらは簡易的な測定には便利ですが、以下の点で注意が必要です。
- 測定精度が劣る(環境光・端末ごとの誤差)
- 規格準拠の校正がされていない
- 再現性やトレーサビリティが確保されていない
したがって、業務や検査レベルの用途では正式な照度計が必須です。
9.高度な機器:分光放射照度計と分光色彩照度計
(1)分光放射照度計(Spectroradiometer)
分光放射照度計は、単なる照度だけでなく、波長ごとの光の強度を計測できる高性能機器です。
LED照明や紫外線・赤外線の評価、光害調査などに用いられます。
波長分布(スペクトル)の取得、色温度・演色性の解析が可能、紫外線照度の評価にも対応できるといった特徴を有しています。
(2)分光色彩照度計(色彩照度計, Spectral Illuminance Meter)
分光色彩照度計は、分光放射照度計に「色彩情報」の解析機能を加えたものです。
波長ごとの人間の視覚に基づいた色度座標や色差(ΔE)の計測、数値化が可能で、ディスプレイ調整や美術館照明の最適化に使われます。
おわりに
照度計は、光環境を定量的に評価するための重要なツールです。基本的な「照度計とは何か?」という理解から、使い方・測り方・アナログ/デジタルの違い、そして露出計や輝度計との違いまで把握することで、より正確で信頼性のある測定が可能になります。
また、分光放射照度計や分光色彩照度計などの高度な機器の存在や、平均照度計算・校正・アプリの活用などの応用知識も、実務では大いに役立ちます。
目的や用途に応じた照度計の選定と、正しい使い方を身につけることで、快適かつ安全な光環境の実現に貢献できるでしょう。
(日本アイアール株式会社 特許調査部 Y・K)
《引用文献、参考文献》
- 1) JIS C 7612:1985 照度測定方法
https://jis.eomec.com/jisc76121985#google_vignette - 2) 照度測定方法 | 照度・輝度の測定法 | 岩崎電気
https://www.iwasaki.co.jp/lighting/support/tech-data/calculation/illuminance/01.html - 3) 分光計、分光光度計、分光放射計とは? 何が違うのか? | UPRtek
https://www.uprtek.com/ja/blogs/what-is-a-spectrometer-spectrophotometer-spectroradiometer - 4) 分光色彩照度計 スペクトロメーター|株式会社セコニック
https://www.sekonic.co.jp/product/665/





































